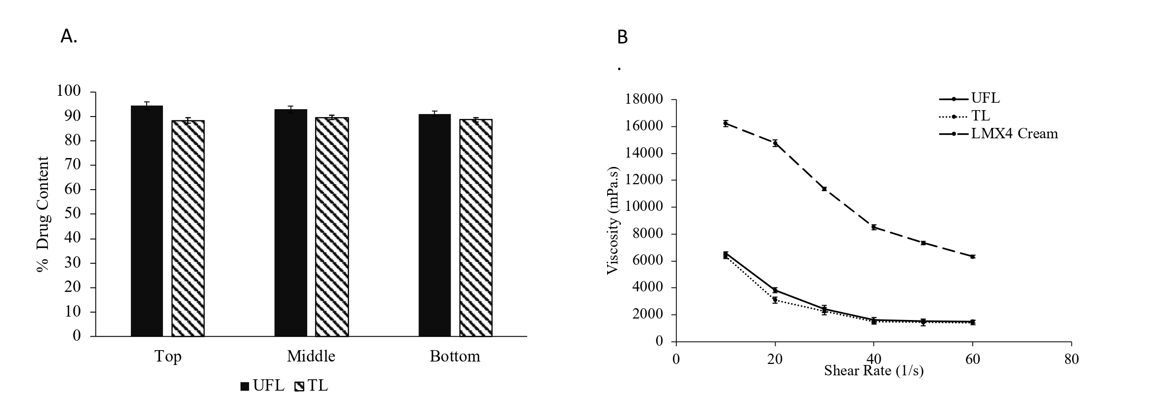
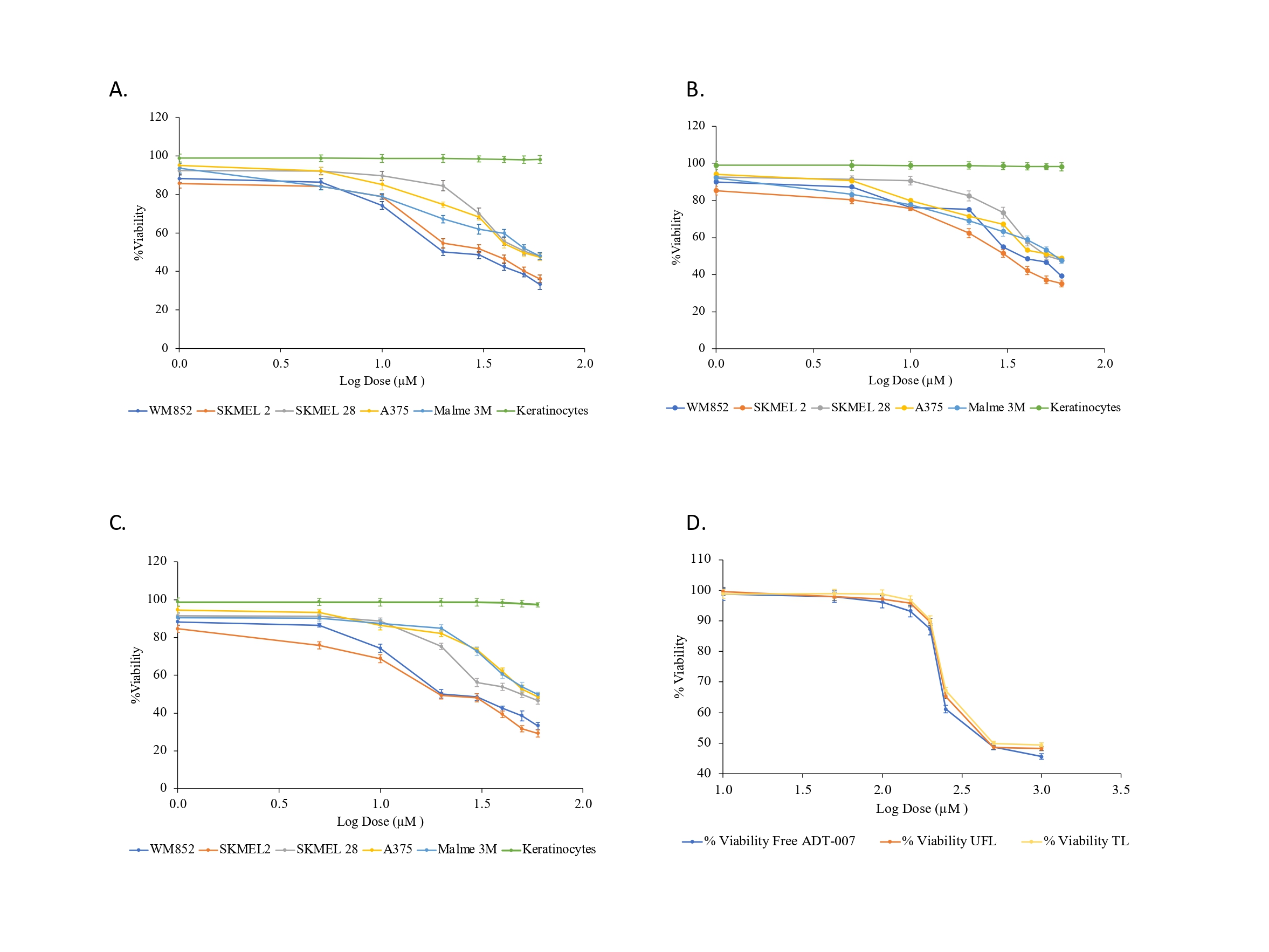
Formulation and Delivery - Chemical
Shivani Amarbhai Dave, MS
Student
Massachusetts College of Pharmacy and Health Sciences
Boston, Massachusetts, United States
Anthony J. Di Pasqua, Ph.D.
Associate Professor of Pharmaceutics
Massachusetts College of Pharmacy and Health Science
Boston, Massachusetts, United States
Anthony J. Di Pasqua, Ph.D.
Associate Professor of Pharmaceutics
Massachusetts College of Pharmacy and Health Science
Boston, Massachusetts, United States
Gary A. Piazza, Ph.D.
Endowed Professor
Auburn University
Auburn, Alabama, United States
Adam B. Keeton, Ph.D.
Assistant Research Professor
Auburn University
Auburn, Alabama, United States


