Formulation and Delivery - Biomolecular
Bhupendra Raj Giri, MS
Graduate Student
University of Texas at Austin
Austin, Texas, United States
Bhupendra Raj Giri, MS
Graduate Student
University of Texas at Austin
Austin, Texas, United States
Michael A. Sandoval, MS
Graduate Student
University of Texas at Austin
Austin, Texas, United States
Hugh D. C. Smyth, Ph.D.
Professor of Molecular Pharmaceutics and Drug Delivery
University of Texas at Austin
Austin, Texas, United States
Zhengrong Cui, Ph.D.
Professor of Molecular Pharmaceutics and Drug Delivery
University of Texas at Austin
Austin, Texas, United States
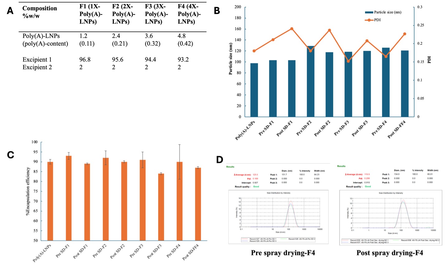
Figure 1. A) poly(A)-LNPs formulation composition with increased poly(A) loading; B) hydrodynamic particle size and polydispersity index (PDI); C) encapsulation efficiency (%EE) of poly(A)-LNPs and F1-F4 formulations pre- and post-spray drying; and D) representative image from DLS showing minimal change in hydrodynamic particle size of F4 formulation pre- and post-spray drying.
Figure 2. A) Spray-dried dry powder characteristics and aerosol performance properties of F1 formulation; and B) representative SEM image of F1 formulation.