Formulation and Delivery - Chemical
Ruei-Bin Tsai, Pharm.D.
Undergraduate
National Taiwan University
Taipei, New Taipei, Taiwan (Republic of China)
Wei-Ren Ke, PhD
Assistant Professor
National Taiwan University
Taipei City, Taipei, Taiwan (Republic of China)
Tom Huijgen, MS
General Manager
Medspray
Enschede, Overijssel, Netherlands
Figure 1. Experimental setup for DPI drug delivery in the mechanical ventilator circuit.
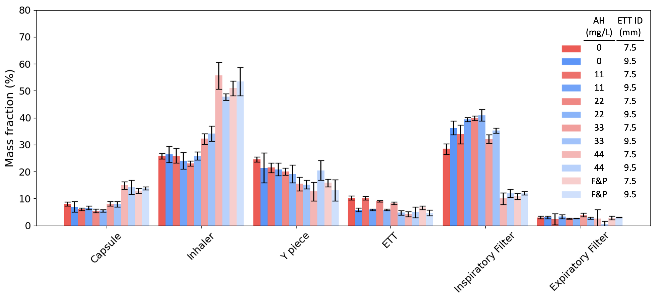
Figure 2. The deposition of indacaterol across ventilator circuit components at various humidity levels and ETT sizes. The ventilator set a tidal volume of 600 mL, a respiratory frequency of 15 breaths/min, a flow rate of 50 L/min, and a square waveform.
Figure 3. The deposition of indacaterol in the inspiratory filter at various tidal volumes and humidity levels. ETT size of 9.5mm was used. The ventilator set a respiratory frequency of 15 breaths/min, a flow rate of 50 L/min, and a square waveform.