Formulation and Delivery - Chemical
Ioannis Tsichlis, MS
PhD Student
National and Kapodistrian University of Athens
Athens, Attiki, Greece
Ioannis Tsichlis, MS
PhD Student
National and Kapodistrian University of Athens
Athens, Attiki, Greece
Antonia Athanasaki, MS
PhD Student
University of Crete
Iraklion, Iraklion, Greece
Kiriaki Chrissopoulou, Ph.D.
Principal Researcher
Institute of Electronic Structure and Laser, Foundation for Research and Technology-Hellas
Iraklion, Iraklion, Greece
Spiros H. Anastasiadis, Ph.D.
Professor
University of Crete
Iraklion, Iraklion, Greece
Costas Demetzos, Ph.D.
Professor
National and Kapodistrian University of Athens
Athens, Attiki, Greece
Figure 1. The hydrodynamic diameter (Dh) of lyotropic liquid crystalline nanoparticles (LLCNPs) encapsulating DNA at N/P 2 and N/P 4 ratios a) over 90 days of storage, b) upon incubation in various pH conditions, and c) after incubation at different temperatures.
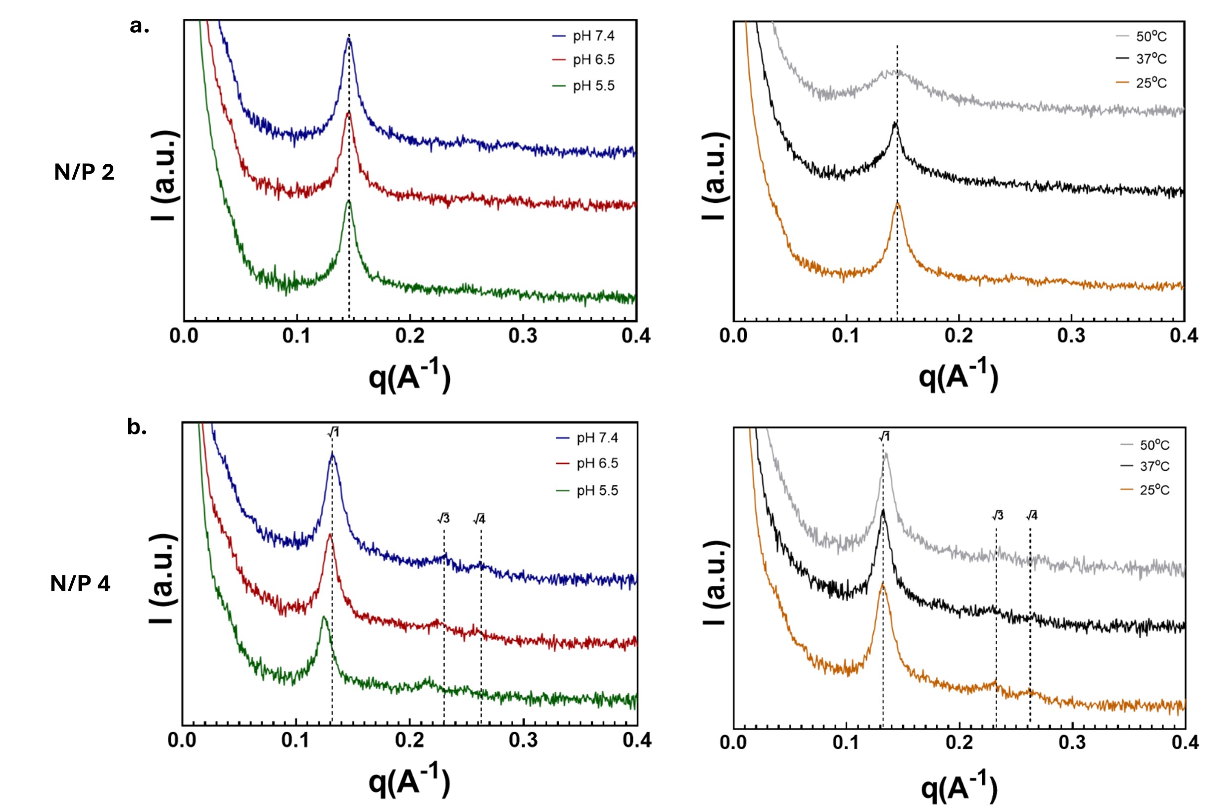
Figure 2. SAXS patterns of lyotropic liquid crystalline nanoparticles (LLCNPs) encapsulating DNA at a) N/P 2 and b) N/P 4 ratios over a pH range from 5.5 to 7.4, and a temperature range from 25 °C to 50 °C.