Preclinical, Clinical, and Translational Sciences
Michael E. Perlman, PhD
Associate Scientific Fellow, Drug Product Development and Devices/Analytical Development
Takeda Pharmaceutical Company Limited
Needham, Massachusetts, United States
Michael E. Perlman, PhD
Associate Scientific Fellow, Drug Product Development and Devices/Analytical Development
Takeda Pharmaceutical Company Limited
Needham, Massachusetts, United States
Steven Zhang
Clinical Pharmacology Lead
Takeda Pharmaceutical Company Limited
Belmont, Massachusetts, United States
Michael Hanley
Senior Director, Quantitative Clinical Pharmacology
Takeda Pharmaceutical Company Limited
Cambridge, Massachusetts, United States
Jin Dong
Senior Scientist II
Simulations Plus, Inc.
Gaithersburg, Maryland, United States
Tarang B. Vora
Senior Scientist II
Simulations Plus, Inc.
Research Triangle Park, North Carolina, United States
Grace Fraczkiewicz
Vice President, PBPK Services
Simulations Plus, Inc.
Research Triangle Park, North Carolina, United States
Zach Thompson
Scientist
Takeda Pharmaceutical Company Limited
Wilmington, Massachusetts, United States
Kazunobu Moriguchi
Director of Analytical Development
Takeda Pharmaceutical Company Limited
Cambridge, Massachusetts, United States
Neeraj Gupta, Ph.D.
Executive Director, Quantitative Clinical Pharmacology
Takeda Pharmaceutical Company Limited
Cambridge, Massachusetts, United States
Landon Durak
Senior Scientist, Synthetic Molecule Process Development
Takeda Pharmaceutical Company Limited
New Haven, Connecticut, United States
Justin Quon
Senior Staff Engineer, Synthetic Molecule Process Development
Takeda Pharmaceutical Company Limited
New Haven, Connecticut, United States
Yuki Kodono
Japan Regional Product Lifecycle Management
Takeda Pharmaceutical Company Limited
Yodogawa-ku, Osaka, Japan
Ian Armitage
Head, AD Early Development US
Takeda Pharmaceutical Company Limited
Cambridge, Massachusetts, United States
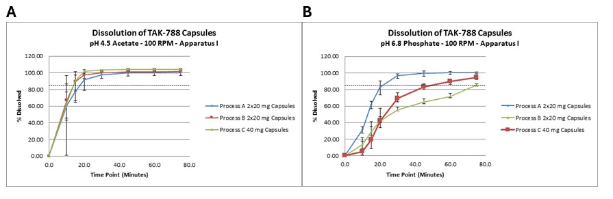
Figure 1. Dissolution of Mobocertinib Development Capsules at (A) pH 4.5 and (B) pH 6.8.
Figure 2. Virtual Bioequivalence Assessment of TAK-788 Capsule Process C/Size 1 and Capsule Process B/Size 1 at a Dose of 160 mg, using Z-factors for pH 1.2, 4.5, 6.5 and 6.8.
Figure 3. Sensitivity of Capsule Process C/Size 1 Mobocertinib PK Parameters to the Variation of Particle Size between 1 and 500 μm (SD= 0).