Manufacturing and Analytical Characterization - Chemical
Jarom D. Webster, MS
Staff Scientist, R&D
Thermo Fisher Scientific
Cincinnati, Ohio, United States
Jarom D. Webster, MS
Staff Scientist, R&D
Thermo Fisher Scientific
Cincinnati, Ohio, United States
Kaustuv Sahoo, Ph.D.
R&D Supervisor
Thermo Fisher Scientific
Cincinnati, Ohio, United States
Mean Thickness Model Representation
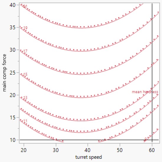
Mean Hardness Model Representation
Mean Disintegration Model Representation