Formulation and Delivery - Chemical
Sanika Jadhav, MS (she/her/hers)
PhD Student
University of Iowa
Iowa City, Iowa, United States
Sanika Jadhav, MS (she/her/hers)
PhD Student
University of Iowa
Iowa City, Iowa, United States
Lewis L. Stevens, Ph.D.
Associate Professor
University of Iowa
Iowa City, Iowa, United States
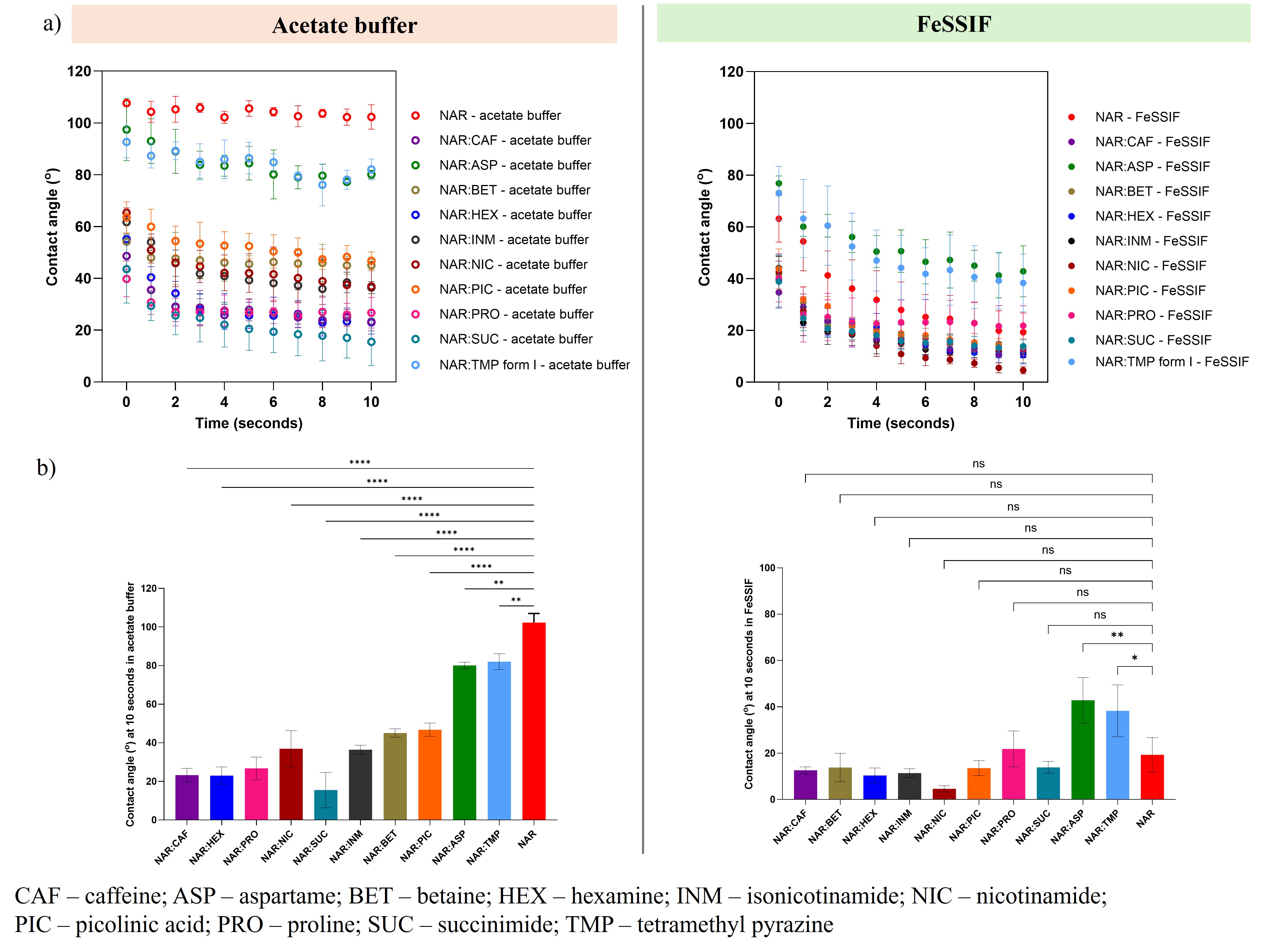
a) Contact angle measurements of NAR and cocrystals in pH 5 acetate buffer and FeSSIF v1, and b) Statistical comparison of contact angle of NAR and cocrystals in both media, wherein */**/***/**** denotes p-value <0.05 and ns denotes non-statistical difference
a) Correlation between relative area under the curve (RAUC) in dissolution profiles with contact angle measurements and b) Correlation between contact angle measurements for coformer and respective cocrystal, in pH 5 acetate buffer and FeSSIF v1
a) Surface chemistry analysis of facets with relatively high surface area, wherein H-bond acceptors are denoted by red, H-bond donors by blue, unsatisfied H-bond donors by sky blue and aromatic region with orange color, and b) Analysis of BFDH morphology and density information of different functional groups on surfaces of facets with relatively high surface area