Formulation and Delivery - Chemical
Tais Gratieri, Ph.D.
Dra
Universidade de Brasilia
Brasilia, Distrito Federal, Brazil
Tais Gratieri, Ph.D.
Dra
Universidade de Brasilia
Brasilia, Distrito Federal, Brazil
Geisa Barbalho, Ph.D.
Dra
University of Brasília
Brasília, Distrito Federal, Brazil
Thamires Miranda, BA
PhD Student
Universidade de Brasilia
Brasilia, Distrito Federal, Brazil
João Paulo Brito, MS
Master Student
University of Brasilia
Brasilia, Distrito Federal, Brazil
Figure 1. Time kill curve assay of (A) CHX and (B) DB
Figure 2. TG and DSC analysis of CHX and DB isolated and in association.
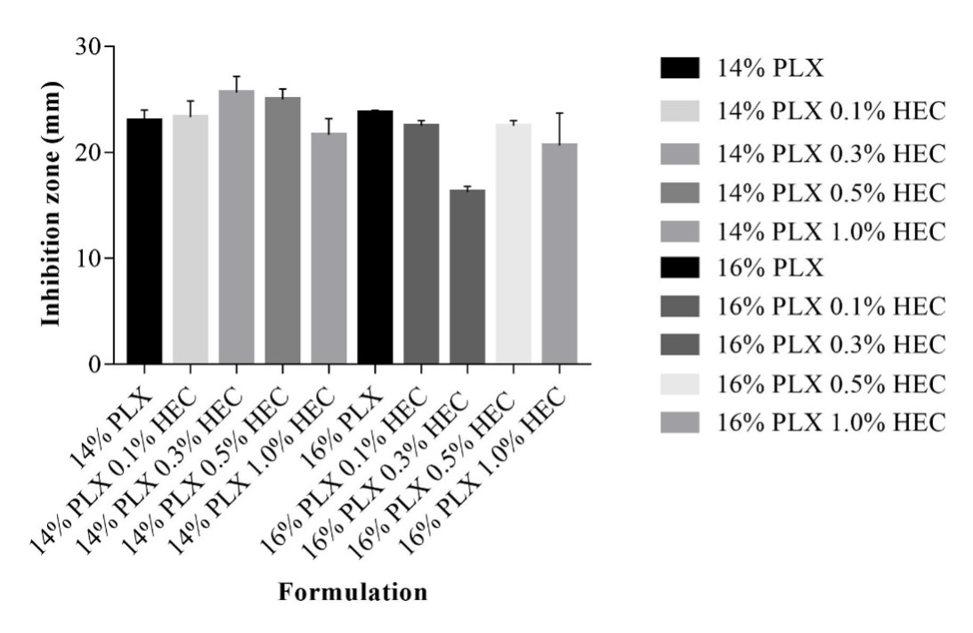
Figure 3. Inhibition zone of DB gels against E. faecalis.