Manufacturing and Analytical Characterization - Chemical
Dohyun Choi, MS
Student
Yonsei University
Incheon, Inch'on-jikhalsi, Republic of Korea
Hyeonjeong Kim, MS
Student
Yonsei University
Incheon, Inch'on-jikhalsi, Republic of Korea
Sung joo hwang, Pharm.D.
Professor
Yonsei University
Incheon, Inch'on-jikhalsi, Republic of Korea
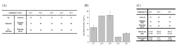
(A) Solubility profile of apixaban in various oils, surfactants, and co-surfactants
(A) Apixaban Solubilization in SMEDDS
(A) Dissolution behavior of apixaban from Eliquis, SMEDDS granule and tablet in DW (n=3)