Manufacturing and Analytical Characterization - Chemical
Rahul Haware, Ph.D.
Director
Natoli Scientific
Telford, Pennsylvania, United States
Rahul Haware, Ph.D.
Director
Natoli Scientific
Telford, Pennsylvania, United States
Nitin Kumar K. Swarnakar, Ph.D. (he/him/his)
NA Applications Lab Manager
BASF Corporation
Tarrytown, New York, United States
Ming Ji, Ph.D.
Employee
BASF Corporation
New York, New York, United States
John Sturgis, BS
Engineering Manager
Natoli Scientific
Telford, Pennsylvania, United States
Robert Sedlock, MS
Director
Natoli Scinetific
Telford, Pennsylvania, United States
Kerry Cruz
Lab Manager
Natoli Scinetific
Telford, Pennsylvania, United States
Sandip Tiwari, Ph.D. (he/him/his)
Head of Technical Services-North America
BASF Corporation
Tarrytown, New York, United States
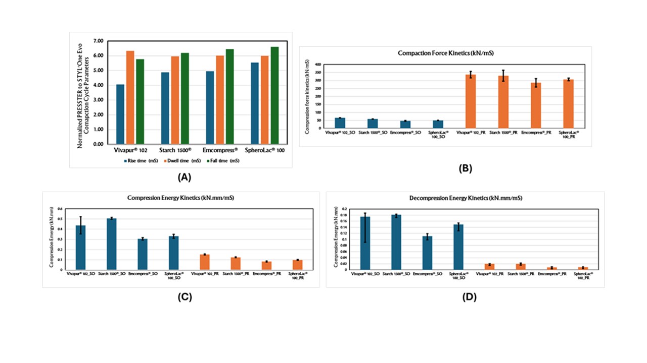
Figure 1 Kinetic evaluation of compaction cycles associated with PRESSTER and STYL'One compaction simulator at 500 mm/s compression speed (A) Normalized PRESSTER to STYL’One compaction cycle parameters; (B) Compaction force kinetics (kN/mS); (C) Compression energy kinetics (kN.mm/mS); and (D) Decompression energy kinetics (kN/mS)
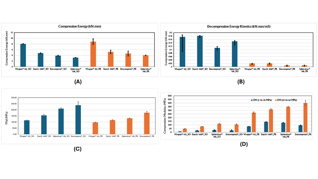
Figure 2 Derived (A) Compression energy; (B) Decompression energy; (C) Material deformation [‘In-die’ Heckel Yield Pressure of Plastic Deformation (YPpl)]; (d) Material strength [Compression Modulus (CM)] parameters from continuous compression profiles obtained with direct simulation (Presster) and indirect simulation (STYL'One CS)