Manufacturing and Analytical Characterization - Chemical
Thomai (Mimi) Panagiotou, Ph.D. (she/her/hers)
President and CEO
Delphi Scientific, LLC
Maynard, Massachusetts, United States
Thomai (Mimi) Panagiotou, Ph.D. (she/her/hers)
President and CEO
Delphi Scientific, LLC
Maynard, Massachusetts, United States
Dean Dinair, Ph.D.
General Manager
LUM Americas
Boulder, Colorado, United States
Figure 1. Average particle size as a function of number of homogenization passes resulting from conventional and Continuous methods. Superimposed is the specification for the average particle size.
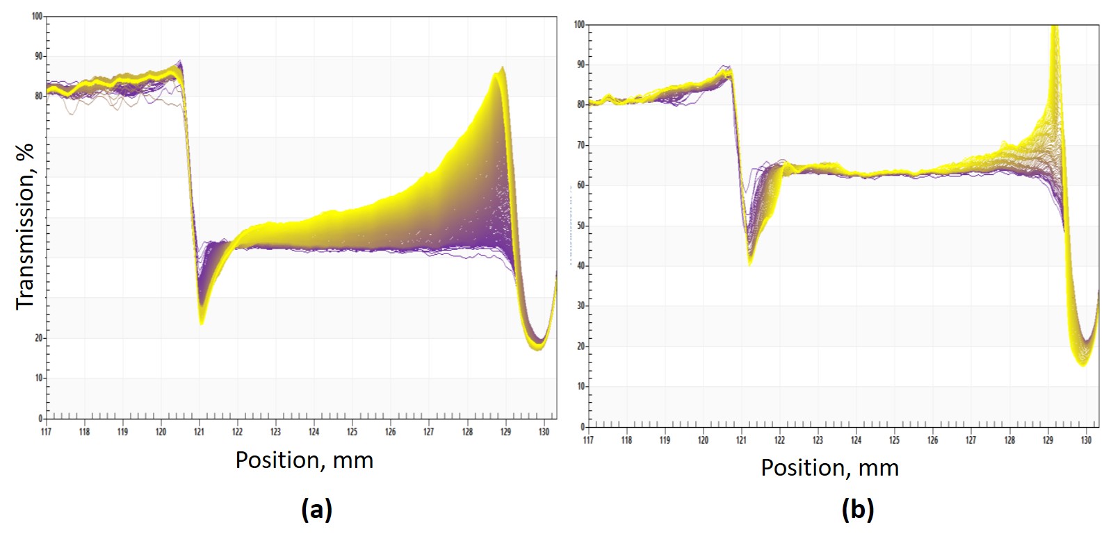
Figure 2. Temporal and spatial transmission profiles of nanoemulsions produced with (a) conventional and (b) Continuous emulsification methods after three homogenization passes. Initial profiles are shown in purple, while later profiles are shown in shades of yellow.
Figure 3. (a) Separation rate, and (b) % of material separated during analysis times of 10-20 minutes.