Discovery and Basic Research
Jean Paul Ouedraogo, Ph.D.
Research Scientist
Charles River Laboratories
Senneville, Quebec, Canada
Jean Paul Ouedraogo, Ph.D.
Research Scientist
Charles River Laboratories
Senneville, Quebec, Canada
Sarah Bond, Ph.D.
Sr. Director
Alnylam Pharmaceuticals Inc.
Cambridge, Massachusetts, United States
Xiping Cheng, Ph.D.
Associate Director
Regeneron Pharmaceuticals, Inc.
New York, New York, United States
Michael Burczynski, Ph.D.
Executive Director
Regeneron Pharmaceuticals, Inc.
New York, New York, United States
Marie-Soleil Piché, Ph.D.
Senior Scientific Director
Charles River Laboratories
Senneville, Quebec, Canada
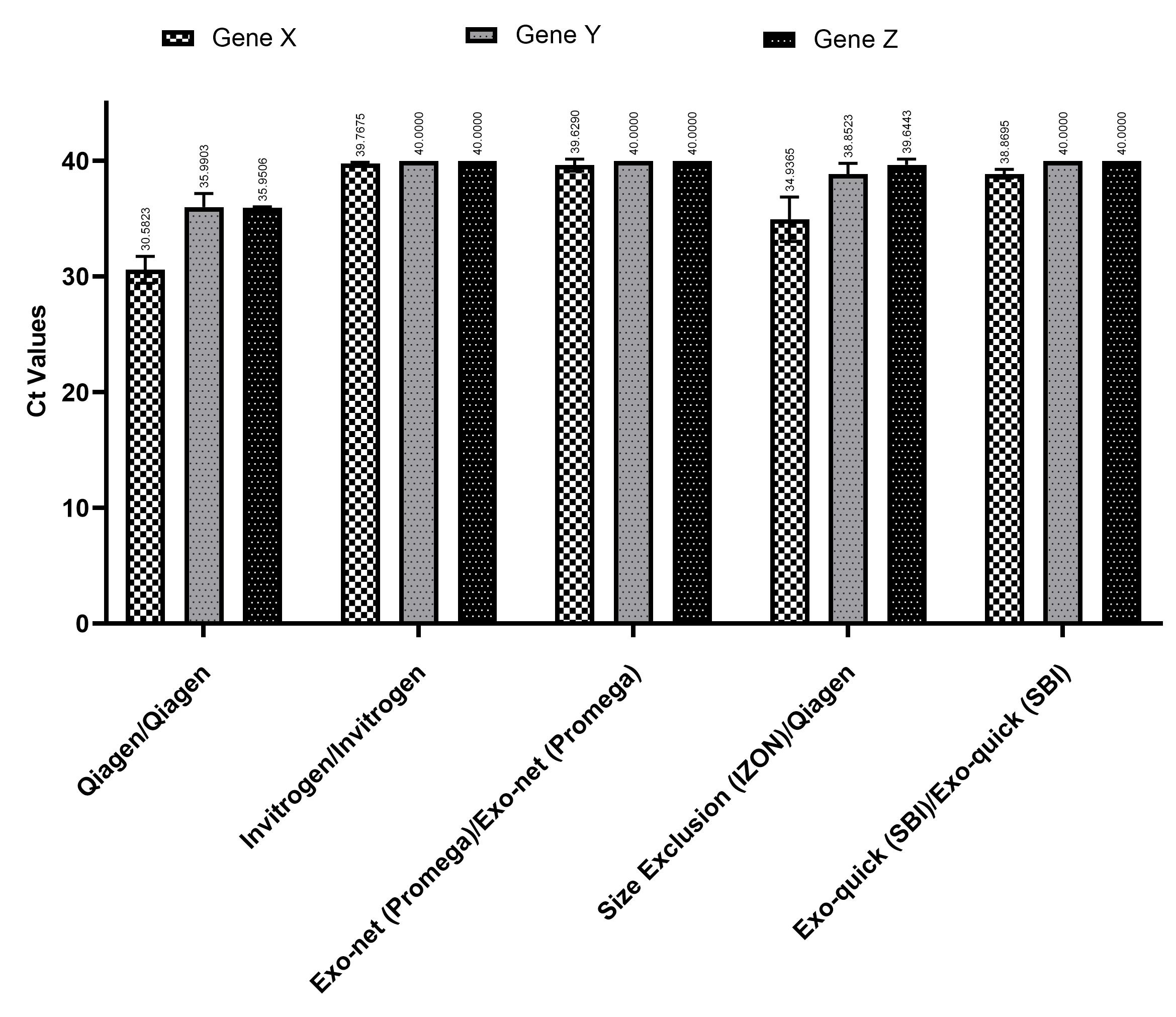
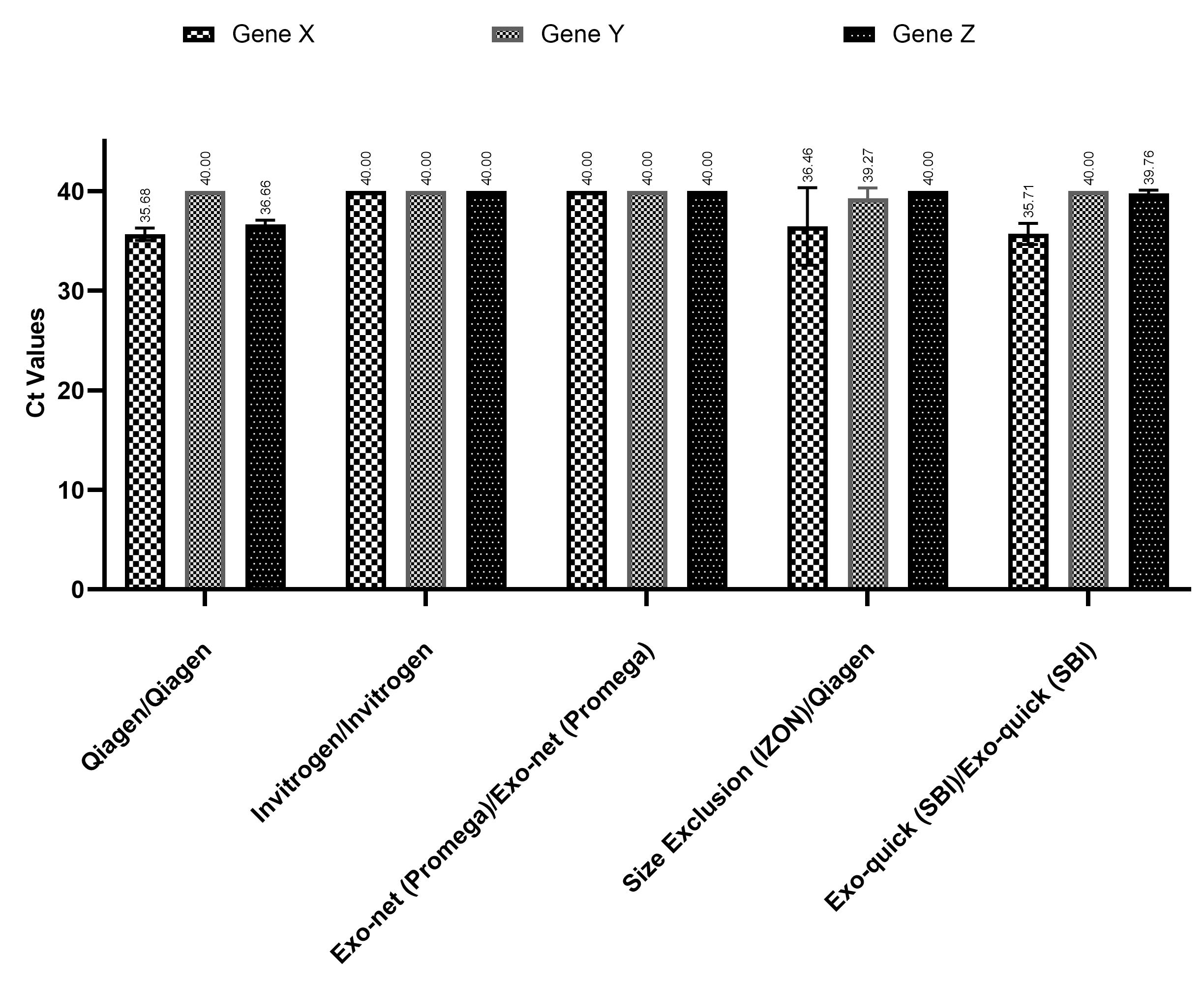
ExosomesRNA and PCR Protocols used
RTqPCR analysis of Urine Exosomal RNA
RTqPCR analysis of Serum Exosomal RNA