Manufacturing and Analytical Characterization - Biomolecular
Yezan M. Salamoun, Pharm.D.
Graduate Research Assistant
University of Kansas
Overland Park, Kansas, United States
Michael J. Hageman, Ph.D.
Valentino J. Stella Distinguished Professor, Pharmaceutical Chemistry
University of Kansas
Lawrence, Kansas, United States
Ava Scanlon, BA
Student
University of Kansas
Lawrence, Kansas, United States
Average water content of four SBECD test lots measured by DVS, TGA, C-KF, and V-KF (n = 5). Error bars show standard deviation.
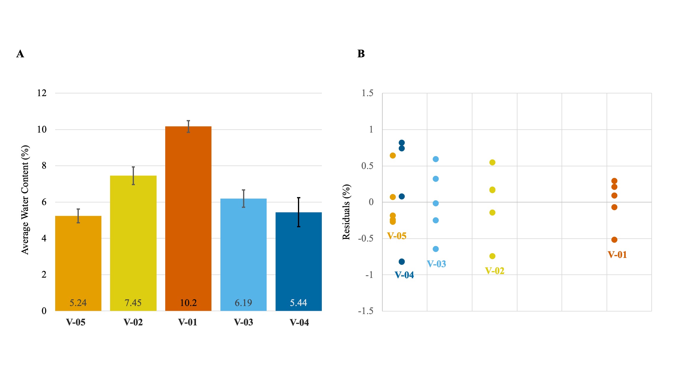
Average water content and residuals for five SBECD validation lots measured by TGA (n = 5). Error bars show standard deviation; residuals indicate deviation from lot means.
Dynamic Vapor Sorption isotherms for SBECD lots V‑04 (A) and V‑02 (B). Left panels: full adsorption–desorption cycle (0–60 % RH). Right panels: adsorption only, extended to 90 % RH.